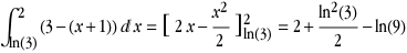
8. Calculer l'aire de la région bornée par la courbe d'équation index_47.gif , la droite y=x+1 et la droite y=3.

index_48.gif
index_49.gifindex_50.gif
index_51.gifindex_52.gif= index_53.gif
S = 4-3 ln 3 = 0.704163

Spikey Created with Wolfram Mathematica 9.0