Domaine de définition

Déterminer le domaine de définition

1) index_1.gif

2) index_2.gif

3) index_3.gif

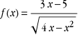
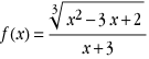
*4) index_4.gif

5) index_5.gif

6) index_6.gif

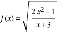
*7) index_7.gif

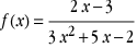
8) index_8.gif

9) index_9.gif

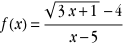
*10) index_10.gif

Solutions

Apple, the Apple logo and Macintosh are registered trademarks of Apple Computer, Inc.
All other trademarks and names belong to their rightful owners.Designed, developed and maintained entirely on Mac OS X .