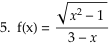
Déterminer les éventuelles asymptotes des fonctions suivantes

"index_1.gif"

"index_2.gif"

"index_3.gif"

"index_4.gif"

"index_5.gif"

"index_6.gif"

"index_7.gif"

"index_8.gif"

"index_9.gif"

"index_10.gif"

"index_11.gif"

"index_12.gif"

"index_13.gif"

"index_14.gif"

"index_15.gif"

"index_16.gif"

"index_17.gif"

"index_18.gif"

"index_19.gif"

"index_20.gif"

Solutions

Spikey Created with Wolfram Mathematica 6